0
Skip to Content
Transparency For Lincoln
About
Timeline
Documents
Facility
Community Connections
Contact
Open Menu
Close Menu
Transparency For Lincoln
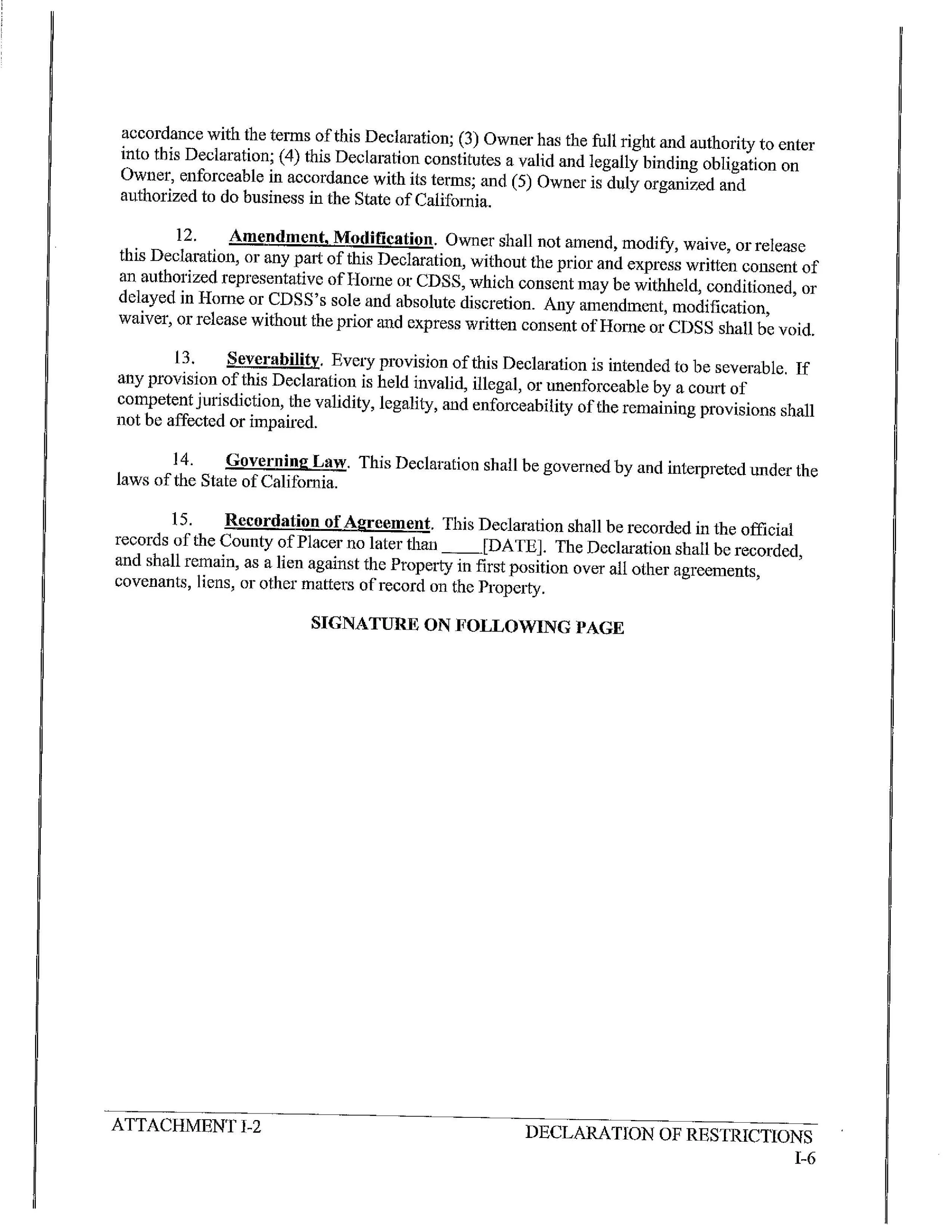
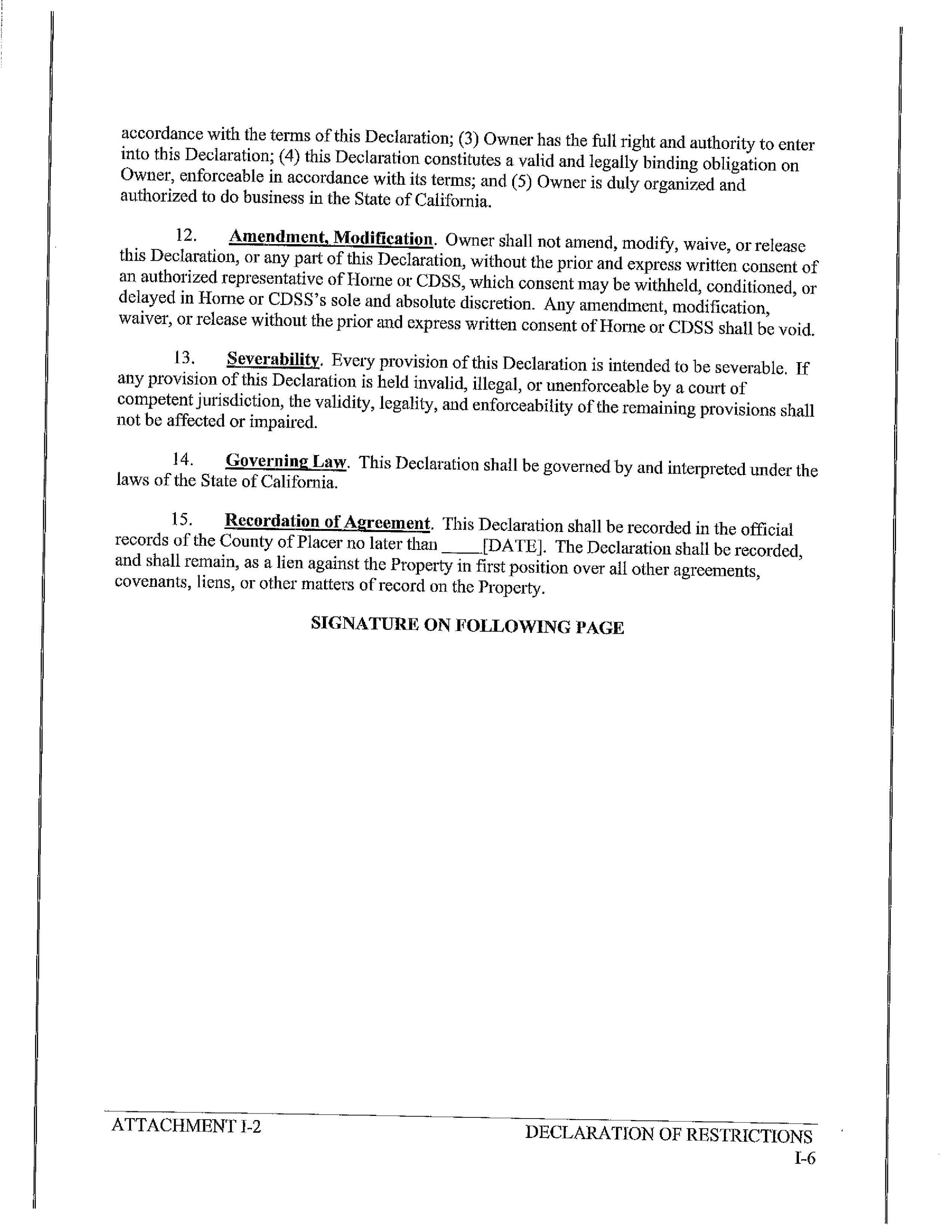
About
Timeline
Documents
Facility
Community Connections
Contact
Open Menu
Close Menu
About
Timeline
Documents
Facility
Community Connections
Contact
County Recorded Declaration of Restrictions
Mar 28
Written By
Donelle Collins
Donelle Collins
Previous
Previous
Video Shared by Supervisor Landon
Next
Next
Fox 40 Online News Article